53. Parámetros Estadísticos
Los parámetros son valores numéricos que informan sobre las características de una población. Solo se aplican a variables cuantitativas.
Parámetros de Centralización
Informan sobre la cohesión y el comportamiento normal de la muestra.
• Media aritmética: Suma de valores dividida por el total (n).

• Moda: El valor que más se repite.
• Mediana: Valor que divide los datos en dos mitades iguales.
• Cuartiles y Percentiles: Valores que dividen la muestra en 4 o 100 partes iguales.
Parámetros de Dispersión
Informan sobre la diversidad y los extremos de los valores.
• Recorrido: Diferencia entre el valor máximo y el mínimo.
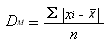
• Desviación Media: Promedio de los valores absolutos de las desviaciones.

• Varianza: Promedio de los cuadrados de las desviaciones.

• Desviación Típica: Raíz cuadrada de la varianza. Es el parámetro más importante.
